Hello everybody, I want to implement a code for a Changing step size in the integration of differential equations using modified divided differences.
I started to implement a code, but i don't get the right ideas.
Maybe Someone can help me.
My File is attached.
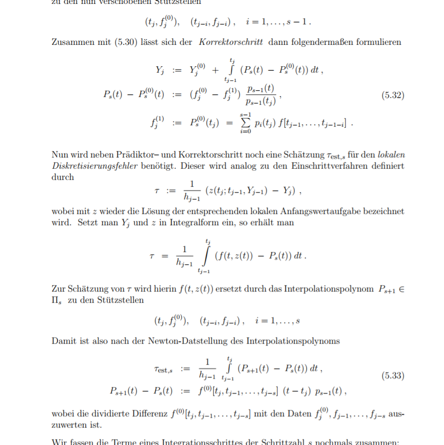
Equations to code: 

Attachments: