Group Abstract Group Abstract

Message Boards Message Boards

0
|
4.4K Views
|
1 Reply
|
1 Total Like
View groups...
Share
Share this post:

[?] Get the derivative of the following pure function?

Posted 8 years ago

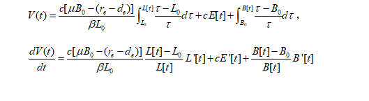
I want to realize the derivative of a function. enter image description here

I use the pure function to realize it, but it runs very slowly and the result seems weird.

enter image description here

POSTED BY: Jacques Ou
Posted 8 years ago

It seems solved. enter image description here

POSTED BY: Jacques Ou
Reply to this discussion
Community posts can be styled and formatted using the Markdown syntax.
Reply Preview
Attachments
Remove
or Discard