
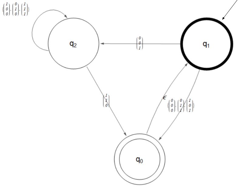
The above nondeterministic finite automaton recognizes a language I will call AddBin3. The alphabet for this NFA is the set of 3-digit binary numbers ({0,0,0},{0,0,1},...{1,1,1}}. The language includes all strings whose first 2 rows add up to the third row. So {1,0,1} (1+0=1} would be part of the language and {0,0,1},{1,1,0} (01+01=10), but not {1,1,1}.
To simulate the states the automaton passes given a certain input string is fairly simple using FoldList. We simply pass it the initial state, a set of rules and the input, then apply the rules repeatedly to the set of states.
rule = <|{1, {0, 0, 0}} -> {0,
1}, {1, {0, 0, 1}} -> {2}, {1, {0, 1, 0}} -> {}, {1, {0, 1,
1}} -> {0, 1},
{1, {1, 0, 0}} -> {}, {1, {1, 0, 1}} -> {0,
1}, {1, {1, 1, 0}} -> {}, {1, {1, 1, 1}} -> {},
{2, {0, 0, 0}} -> {}, {2, {0, 0, 1}} -> {}, {2, {0, 1,
0}} -> {2}, {2, {0, 1, 1}} -> {},
{2, {1, 0, 0}} -> {2}, {2, {1, 0, 1}} -> {}, {2, {1, 1, 0}} -> {0,
1}, {2, {1, 1, 1}} -> {2},
{0, {0, 0, 0}} -> {}, {0, {0, 0, 1}} -> {}, {0, {0, 1,
0}} -> {}, {0, {0, 1, 1}} -> {},
{0, {1, 0, 0}} -> {}, {0, {1, 0, 1}} -> {}, {0, {1, 1,
0}} -> {}, {0, {1, 1, 1}} -> {}
|>;
FoldList[Union @@ (Function[s, rule[{s, #2}]] /@ #1) &, {1}, {{0, 0,
1}, {1, 1, 0}, {1, 0, 1}}]
Output: {{1}, {2}, {0, 1}, {0, 1}} As we see, the automaton starts in state 1, moves to state 2, then moves on to states 0 and 1.
To make this nicer to read, I made a more elaborate version, which has more information (the initial state, the accept state(s), the rule, etc. It outputs a quite elaborate StringTemplate that I thought was worth sharing.
addBin3Simulation[input_List]:=
((*set the initial state, accept state(s), alphabet, and rules*)
initialstate={1};
acceptstates= {0};
alphabet={{0,0,0},{0,0,1},{0,1,0},{0,1,1},{1,0,0},{1,0,1},{1,1,0},{1,1,1}};
rule=<|{1,{0,0,0}}->{0,1},{1,{0,0,1}}->{2},{1,{0,1,0}}->{},{1,{0,1,1}}->{0,1},
{1,{1,0,0}}->{},{1,{1,0,1}}->{0,1},{1,{1,1,0}}->{},{1,{1,1,1}}->{},
{2,{0,0,0}}->{},{2,{0,0,1}}->{},{2,{0,1,0}}->{2},{2,{0,1,1}}->{},
{2,{1,0,0}}->{2},{2,{1,0,1}}->{},{2,{1,1,0}}->{0,1},{2,{1,1,1}}->{2},
{0,{0,0,0}}->{},{0,{0,0,1}}->{},{0,{0,1,0}}->{},{0,{0,1,1}}->{},
{0,{1,0,0}}->{},{0,{1,0,1}}->{},{0,{1,1,0}}->{},{0,{1,1,1}}->{}
|>;
(*Fold the rule over and over on the states to get a list of the sequence of states*)
states=FoldList[Union@@(Function[s,rule[{s,#2}]]/@#1)&,initialstate,input];
(*check that all the characters in the input string are part of the alphabet*)
If[ContainsOnly[input,alphabet],
(*if they are, output the result of the simulation*)
StringRiffle[
Join[
(*First, output the initial state*)
{StringTemplate["The intial state of the NFA is \!\(\*SubscriptBox[\(q\), \(``\)]\)`"][initialstate]},
(*Then, show the sequence of states reached through the input*)
(*adjust the output depending on the number of states for correct grammar*)
(*have a special output for an empty list*)
MapThread[StringTemplate["After the next input `1`, the new state <*
If[Length[#2]==1,
\" is \"<>#2[[1]],
\"s are\" <>
If[Length[#2]==0,
\" none. The NFA terminates here.\",
StringRiffle[Most[#2],{\" \", \",\", \" and \"}]
<>Last[#2]]]*>"],
{input,Map[StringTemplate["\!\(\*SubscriptBox[\(q\), \(`1`\)]\)"],Rest[states],{2}]}
(*terminate the MapThread loop after the first empty list*)
[[All,;;FirstPosition[Rest[states],{},{-1}][[1]]]]],
(*attach a statement weather the string was accepted or not*)
{If[Last[states]!= {},
"This is the last state and "<>If[ContainsAny[Last[states],acceptstates],
"the string is accepted.",
"the string is not accepted."],
"The string is not accepted."]}],
"\n"],
(*if the input characters are not all in the alphabet, output an error message*)
"Error: One or more of the input characters are not in the alphabet"])
When we give this function an input string, it will give us information in an easily digestible format.
Some examples:
The function will also give an Error when the string has characters that are not in the language.
Of course, this function can be generalized for other NFAs:
(*generalied NFA simulation*)
nfaSimulation[alphabet_List, initialstate_List, rule_Association,
acceptstates_List, input_List] :=
((*Fold the rule over and over on the states to get a list of the \
sequence of states*)
states =
FoldList[Union @@ (Function[s, rule[{s, #2}]] /@ #1) &,
initialstate, input];
(*check that all the characters in the input string are part of the \
alphabet*)
If[ContainsOnly[input, alphabet],
(*if they are, output the result of the simulation*)
StringRiffle[
Join[
(*First, output the initial state*)
{StringTemplate[
"The intial state of the NFA is \!\(\*SubscriptBox[\(q\), \
\(``\)]\)`"][initialstate]},
(*Then,
show the sequence of states reached through the input*)
(*
adjust the output depending on the length of the list of states \
to have correct grammar*)
(*have a special output for an empty list*)
MapThread[
StringTemplate[
"After the next input `1`, the new state <*If[Length[#2]==1, \
\" is \"<>#2[[1]], \"s are\" <>If[Length[#2]==0, \" none. The NFA \
terminates here.\", StringRiffle[Most[#2],{\" \", \",\", \" and \
\"}]<>Last[#2]]]*>"],
{input,
Map[StringTemplate["\!\(\*SubscriptBox[\(q\), \(`1`\)]\)"],
Rest[states], {2}]}
(*terminate the MapThread loop after the first instance \
of an empty list*)
[[All, ;; FirstPosition[Rest[states], {}, {-1}][[1]]]]],
(*attach a statement weather the string was accepted or not*)
\
{If[Last[states] != {},
"This is the last state and " <>
If[ContainsAny[Last[states], acceptstates],
"the string is accepted.",
"the string is not accepted."],
"The string is not accepted."]}],
"\n"],
(*if the input characters are not all in the alphabet,
output an error message*)
"Error: One or more of the input characters are not in the \
alphabet"])
We just need to give this function the alphabet, initial state, rule, acceptstates and an input and it will generate a narrative about the computation of the NFA.
Bonus: here is how I draw NFAs with the WL.
nfaPlot[q_, q0_, transitions_, f_,
opts___] := (g \[Function]
Graph[g,
VertexShape ->
Join[Thread[
Complement[VertexList[g], f, {q0}] -> Graphics[Circle[]]],
Thread[DeleteCases[f, q0] ->
Graphics[{Circle[], Circle[{0, 0}, 0.8]}]], {q0 ->
Graphics[{If[MemberQ[f, q0], Circle[{0, 0}, 0.8], Nothing],
Thickness[0.05], Circle[]}]}], VertexSize -> Large,
EdgeStyle -> Black, opts])@
Graph[q, Labeled[#1 \[DirectedEdge] #2,
If[Length[#3] === 1, #3[[1]], #3]] & @@@
KeyValueMap[Append,
GroupBy[transitions, (#[[;; 2]] &) -> (#[[3]] &)]]]
nfaPlot[Labeled[#, Style[Subscript["q", #], Large], Center] & /@ {0,
1, 2}, 0,
MapAt[Style[#, Large, Italic,
FontFamily -> "Times New Roman"] &, {{0, 1, 1}, {1, 2, 1}, {2, 0,
1}, {1, 0, 0}, {2, 1, 0}, {0, 2, 0}}, {All, 3}], {2}]
The output looks like the image below. The initial state is marked by a bold circle, but feel free to manually draw an arrow leading into the diagram like I did above:
