Hello everybody,
I am developing an excel tool for a mechanical calculation, which is why I have to do everything parametric. That makes it way harder to solve a specific system of equations, which is why I decided to use wolfram-alpha. It worked out quite well in my first development iteration (see below):
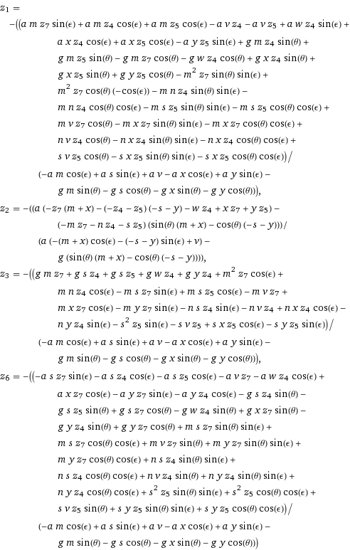
Input:
Solve ( z_1+sin(?)*z_2+cos(?)*z_3-z_4-z_5=0, cos(?)*z_2-sin(?)*z_3-z_6+z_7=0, -g*z_2-a*z_3+n*z_4+s*z_5+m*z_7=0, (s+y)*z_1-v*z_2+w*z_4-y*z_5+(m+x)*z_6-x*z_7=0, [z_1,z_2,z_3,z_6])
Result:

But after my first validation it turned out that I have to refine my calculation and include the friction. And this is where my problem is. For some reason the system of equation cannot be solved anymore (input below). Do you have any idea why it does not work anymore?
Input:
Solve (
z_1+sin(?)*z_2+cos(?)*z_3-z_4-z_5-z_8*sin(?)=0,
cos(?)*z_2-sin(?)*z_3-z_6+z_7-z_8*cos(?)=0,
-g*z_2-a*z_3+n*z_4+s*z_5+m*z_7-z_8*c=0,
(s+y)*z_1-v*z_2+w*z_4-y*z_5+(m+x)*z_6-x*z_7=0,
z_3*?-z_8=0,
[z_1,z_2,z_3,z_6,z_8])
Thanks for taking the time to help me, I appreciate it.
Regards, Friedrich