Hi, from a book need to solve an integral:
, was handwrite solved, but Mathematica show the answer in different form, with code:
Integrate[x^3 (2 - x^2)^12, x]
and
Integrate[x^3 (2 - x^2)^m, x] /. m-> 12
get this: 
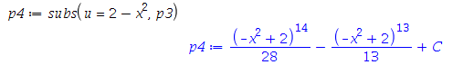
but the question is, can get a form that looks like this?:

which is the answer by handwrite and solution book. Thanks!