Group Abstract Group Abstract

Message Boards Message Boards

0
|
4.7K Views
|
11 Replies
|
0 Total Likes
View groups...
Share
Share this post:

Error Derivative::novar in PDEs?

Posted 4 years ago

Hi, I want to solve system of PDE equations with boundary conditions (image1), but at first, I want to setup a formulation (notebook1). My formulation send an error that "Derivative::novar: [PartialD](f[[Eta]]') cannot be interpreted. A partial derivative requires a subscript differentiation variable."

Please help me, what can I do?

Best Regards.

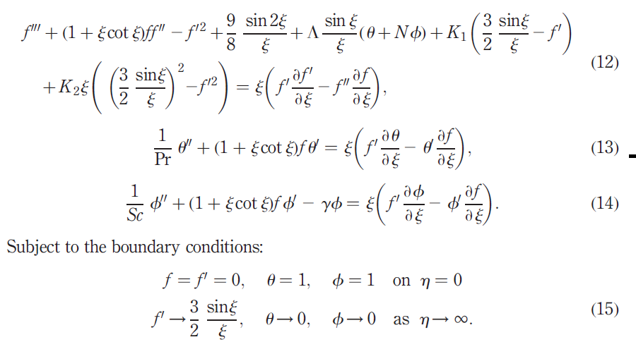
image1: original problem equations

POSTED BY: Saleh Baradaran
11 Replies

I did some more work. Look at the notebook.

Attachments:
POSTED BY: Hans Dolhaine

Hello Dear Hans

Thank you so much for your attention, thank you very very much for your code, i find my mistake by your code.

Thanks

POSTED BY: Saleh Baradaran

In the right hand side, differentiate f with respect to xi, that give zero !! i can't undesrtand what's wrong and why it give me zero :(

POSTED BY: Saleh Baradaran

You say f is a function of eta, not xi. So differentiation of f[ et ] with respect to xi gives zero, f does not depend on xi.

POSTED BY: Hans Dolhaine

No, I think by mistake, f is a function of eta & xi at same time. Now what am I to do?

POSTED BY: Saleh Baradaran

in this case replace everywhere (!) f[ et ] by f[ et, xi ] :

e1R = xi (D[f[et, xi], et] D[D[f[et, xi], et], xi] - D[f[et, xi], et, et] D[f[et, xi], xi])

And check the notebook I sent. I think there are errors: I didn't change \ [Eta] always by et, as it must be.

POSTED BY: Hans Dolhaine

Thank you really so much.

POSTED BY: Saleh Baradaran

The left hand side of equation1 should look like this, do you agree?

e1L = D[f[et], {et, 3}] + (1 + xi Cot[xi]) f[\[Eta]] D[f[et], {et, 2}] - (D[f[et], et])^2 + 
  9/8 Sin[2 xi]/xi + \[CapitalLambda] Sin[xi]/
   xi (\[Theta][\[Eta]] + N\[Phi][et]) +   Subscript[k, 1] (3/2 Sin[xi]/xi - D[f[et], et]) + 
  Subscript[k, 2] ((3/2 Sin[xi]/xi)^2 - (D[f[et], et])^2)

What is Nphi? And what is f[ et ]? In the right hand side you differentiate f with respect to xi, that should give zero, or I do not understand what you want to do.

POSTED BY: Hans Dolhaine

That looks nice. Like calligraphy.

But what do you mean for example by cot[Xi]? Perhaps Cot[[Xi]] ?

I suggest you refomulate your code like

e1 = D[f[et], {et, 3}] + (1 + et Cot[et]) f[\[Eta]] Derivative[f[et], {et, 2}] - (D[f[et`], et])^2

and so on.

An later on you set xi to zero. But there are terms divided by xi, so care is necessary!

POSTED BY: Hans Dolhaine

You should show your code, not the equations. Where is notebook1?

POSTED BY: Hans Dolhaine

I put my notebook in my discussion, but send to you again.

Thank you.

Attachments:
POSTED BY: Saleh Baradaran
Reply to this discussion
Community posts can be styled and formatted using the Markdown syntax.
Reply Preview
Attachments
Remove
or Discard