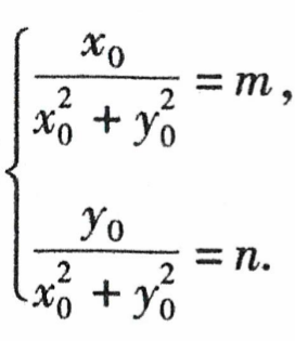
In the code below, the parameters l1 and l2 represent the same straight line. How can I use code to obtain the following equality relationship?
m == x0/(x0^2 + y0^2)
n == y0/(x0^2 + y0^2)

I used the following code but it didn't achieve the intended purpose.
l1 = (y - y0) == -x0/y0 (x - x0)
l2 = m x + n y == 1
Solve[ForAll[{x, y}, Subtract @@ l1 == Subtract @@ l2]]