f[x_] = Sin[x] - (x - Sqrt[2]/2 x Sin[x])/Cos[x]
D[f[x], {x, 1}]
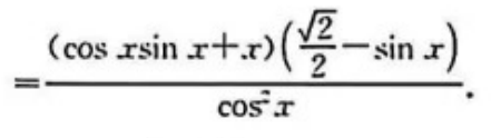
The result obtained after taking the first derivative of the function is as follows:
Cos[x] - Sec[x] (1 - (x Cos[x])/Sqrt[2] - Sin[x]/Sqrt[2]) -
Sec[x] (x - (x Sin[x])/Sqrt[2]) Tan[x]
How can the result of the first derivative of this function be expressed solely in terms of sine, cosine, and tangent as follows?
