Group Abstract Group Abstract

Message Boards Message Boards

0
|
767 Views
|
3 Replies
|
3 Total Likes
View groups...
Share
Share this post:

Closed-form integration of Slip ODE for anchored FRP–concrete joint with exponential Bond–Slip law

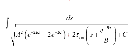
Implicit integral governing slip in the anchored zone

Hi all. This expression arises from equilibrium and compatibility in the anchored region, where the bond–slip law includes an exponential cohesive term and a nonzero residual shear stress

I would like to know:

  1. Whether this integral admits a closed-form analytical solution (exact or implicit).

  2. Whether asymptotic or approximate closed-form solutions are only options.

Any guidance or references would be appreciated.

POSTED BY: Manish Prasad
3 Replies

Practical conclusion:

Generic case: No closed-form analytic antiderivative in elementary or standard special functions.

Only in special parameter regimes (t=0 ,B=0, or fine-tuned constants) does a closed form exist.

Otherwise: One must use numerical quadrature, or asymptotic / perturbative approximations.

POSTED BY: Mariusz Iwaniuk

Thanks a lot for the effort. Yes, for t=0, there exists a closed form antiderivative. At last, I am going ahead with the numerical solution as any other solution will not do the job for me. Thanks again!

POSTED BY: Manish Prasad

Welcome to Wolfram Community!
Please provide your efforts in the form of the Wolfram Language code. This will make it easier for other members to help you. Check several methods available to include your code in the rules http://wolfr.am/READ-1ST

POSTED BY: EDITORIAL BOARD
Reply to this discussion
Community posts can be styled and formatted using the Markdown syntax.
Reply Preview
Attachments
Remove
or Discard