Group Abstract Group Abstract

Message Boards Message Boards

[WWS26] A probabilistic view of graph similarity via random relabelings

Posted 4 months ago

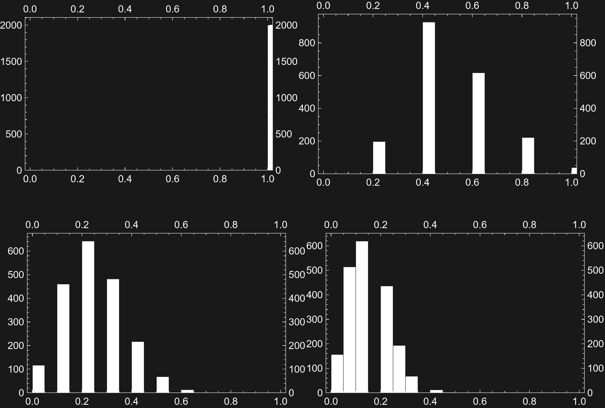
Comparison of a few distributions from this overlap metric

Attachments:
POSTED BY: Vishakh Menon

enter image description here -- you have earned Featured Contributor Badge enter image description here Your exceptional post has been selected for our editorial column Staff Picks http://wolfr.am/StaffPicks and Your Profile is now distinguished by a Featured Contributor Badge and is displayed on the Featured Contributor Board. Thank you!

POSTED BY: EDITORIAL BOARD
Reply to this discussion
Community posts can be styled and formatted using the Markdown syntax.
Reply Preview
Attachments
Remove
or Discard