Group Abstract Group Abstract

Message Boards Message Boards

0
|
5.9K Views
|
4 Replies
|
2 Total Likes
View groups...
Share
Share this post:

How to add vertical bar symbol for "evaluated at" in an equation?

Posted 3 years ago

Hi -

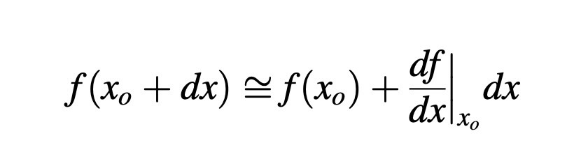
I would like to transcribe an equation (as text) that has a vertical bar to the right of another expression, with a subscript indicating that the expression should be "evaluated at" the value of the subscript.

Here is an example: Evaluated At Example Meaning that df/dx should be evaluated at x0. I realize I could just type the '|' character, but this is not rescaled to match the height of the preceding expression (as it is in LaTex, for example).

I have looked through all of the typesetting options in the Math Assistant, and the closest thing seems to be "RightBracketingBar" or Esc-r|-Esc. It looks a bit odd, but maybe I'm just too used to LaTex.

If there is a more suitable delimiter I'd be grateful for suggestions!

Rick

POSTED BY: Richard Hoge
4 Replies

Ah ok thanks this is perfect. I am a rank beginner in Mathematica and there are so many ways to do things it can be a bit overwhelming.

I think that for purposes of explanatory text, I'd be very happy to just use LaTex input and reserve Wolfram syntax for expressions that will be evaluated.

Thank you and best regards,

Rick

POSTED BY: Richard Hoge

Richard,

glad to help and thank you for this quick feedback! Yes, Mathematica can be quite overwhelming - but it is worth every effort! And this forum definitely is quite helpful!

Best regards -- Henrik

POSTED BY: Henrik Schachner

I am looking forward to delving further. I dabbled with Mathematica in the 1990's when I was doing my Master's in Medical Physics (ended up working in MRI but really enjoyed learning about radiation physics). Very happy to see it thriving!

Direct entry of TeX will be a huge boon.

Thanks again!

POSTED BY: Richard Hoge

I would like to transcribe an equation (as text) that ...

Richard,

if you just need this for displaying reasons you have the option of directly inputting TeX, see documentation. The result then (as to be expected) looks like:

enter image description here

POSTED BY: Henrik Schachner
Reply to this discussion
Community posts can be styled and formatted using the Markdown syntax.
Reply Preview
Attachments
Remove
or Discard