Hello!
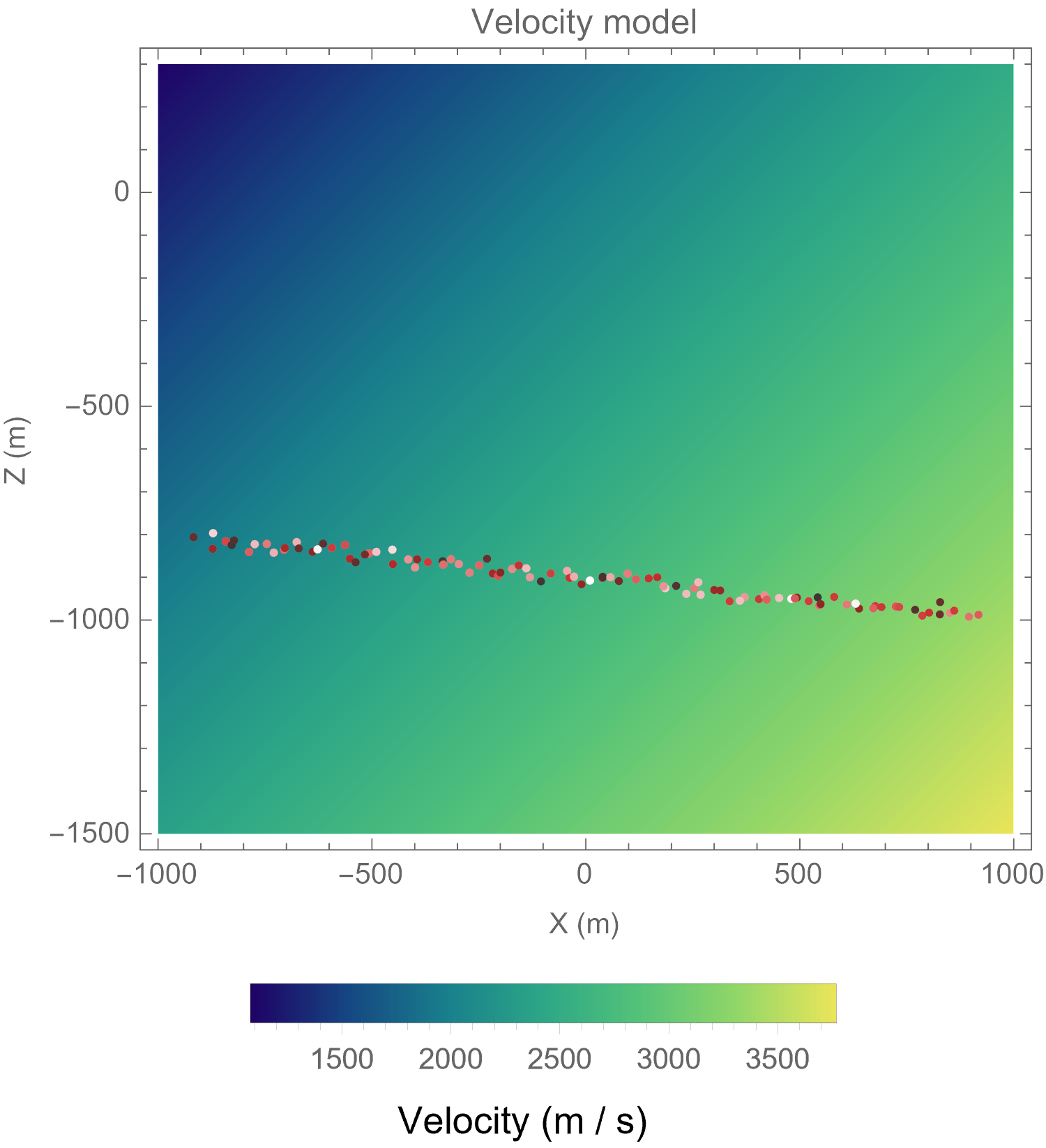
Assume I have a 2D function Vel[x, z]
(say, velocity distribution in the geological medium) and a set of points Xi = {x1, x1, ...}
, Zi = {z1, z1, ...}
with some scalar measurements Fi = {f[x1, z1], f[x2, z2], ...}
for each of them. I would like to visualize the spatial distribution of the measurements as a scatter plot with the velocity model as a background. Unfortunately, there's no function like ScatterPlot
in the WL, but I managed to do what I want and obtained the following plot: 
Here high values of Fi
correspond to red points whereas low values correspond to white points.
My question is: how can I add an additional colorbar for the "white-red" colorscale? Thank you in advance!
UPD: a code sample generating the image above: