eqn = -4 a^2 b^2 (-b^2 + (b^4 x0^2)/(
a^2 y0^2) - (-((b^2 x0^2)/(a^2 y0)) + y0)^2)
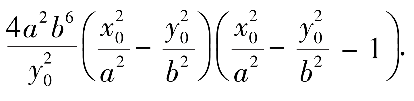
How to perform an identical transformation on the above expression into a factored form containing the specified part? The specific target form of the transformation is shown in the figure below:

The specified contained part is:
(x0^2/a^2 - y0^2/b^2)
I have conducted the following independent attempts yet been unable to resolve this issue.
pol = -4 a^2 b^2 (-b^2 + (b^4 x0^2)/(
a^2 y0^2) - (-((b^2 x0^2)/(a^2 y0)) + y0)^2)
pol/(x0^2/a^2 - y0^2/b^2) // Cancel // Factor